在线工具
实用工具集合,提升工作效率
🏠 生活
💰 工作
🌐 娱乐
🛠️ 开发
📈 计算
📊 文本
🔄 图像
全部
›
计算
›
数学计算
› 求和计算器
求和计算器
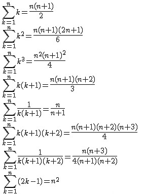
选择所求和形式 (K):
= ∑
k
k^2
k^3
2k-1
k(k+1)
1 / k(k+1)
k(k+1)(k+2)
1 / k(k+1)(k+2)
想求和的项数(n):
计算
清空
结果(∑):